1.Գրիր A(12;2) կետի հեռավորությունը օրդինատների առանցքից:

Պատ՝2
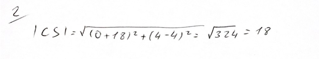
2.Գտիր հեռավորությունը C(-18;4) և S(0;4) կետերի միջև:


3.Որոշիր A (28;32) կետը կոորդինատների սկզբնակետիO(0,0) հետ միացնող հատվածի միջնակետի կոորդինատները:

x=28+0/2=14
y=32+0/2=16
4.Պարզիր, թե կոորդինատային ո՞ր առանցքի վրա է գտնվում N(0;43) կետը և հաշվիր նրա հեռավորությունը մյուս առանցքից:

Պատ ՝45
5.Հատվածի մի ծայրակետը O(0;0)կետն է: Մյուս ծայրակետը A(54;0)կետն է: Գտիր OA հատվածի միջնակետը:

6.Հարթության վրա տրված են B(1;-45), P(-48;45), K(-23.5;0) կետերը: Դրանցից ո՞ր երկուսն են այն հատվածի ծայրակետերը, որի միջնակետն է երրորդը:











